Every study begins with a defined group of individuals or elements known as the population, but studying every single member of that group is often impractical or impossible.
That is why you have to take a sample from that population, a smaller, manageable group selected to represent the population. 
| Population | Sample |
| All university students in the UK (the entire group of interest). | 200 students selected from 10 UK universities (a subset of the population). |
| All customers of a national bank (the total pool). | 500 customers surveyed from three major branches (a representation of the customers). |
| All employees of a multinational company (the entire workforce). | 150 employees from the marketing and finance departments (a smaller, targeted group). |
| All households in a city (every unit in the target area). | 250 households chosen randomly for a housing survey (a measured portion). |
| All patients with diabetes in a country (the complete patient group). | 300 patients receiving treatment in five hospitals (a manageable subset for study). |
A population refers to the complete group of individuals, items, or data that a researcher wants to study or draw conclusions about. It includes every element that fits the criteria of the research question.
The population is the entire set from which data could potentially be collected.
A research population has several key features:
| Size | It can be large (e.g., all university students in the UK) or small (e.g., all teachers in a single school), representing the total number of units of interest. |
| Scope | It defines the boundaries of who or what is included, based on factors such as age, location, occupation, or behaviour (the criteria for belonging). |
| Inclusivity | Every individual or element that meets the defined criteria is considered part of the population; it is the entire set from which a sample is drawn. |
Our writers are ready to deliver multiple custom topic suggestions straight to your email that aligns
with your requirements and preferences:
Researchers generally divide populations into two main categories:
This refers to the entire group that the researcher aims to understand or draw conclusions about.
For instance, if a study focuses on higher education trends, the target population might be all university students in the UK.
This is the portion of the target population that the researcher can actually reach or collect data from.
For example, if only students from 10 universities participate, that group represents the accessible population.
Imagine a study investigating the impact of online learning on academic performance.
The population could be all university students in the UK.
However, since it’s impossible to survey every student, researchers often select a smaller group, a sample, to represent this larger population accurately.
A sample is a smaller group selected from a larger population to take part in a research study. It represents the characteristics of the entire population, and allows researchers to draw conclusions without studying everyone.
A sample is a subset of the population that helps make research more manageable and efficient.
Researchers use samples because studying an entire population is often time-consuming, expensive, and impractical. Sampling allows them to:
There are two main categories of sampling methods, each serving a specific research need:
Every individual in the population has a known chance of being selected. This method reduces bias and increases representativeness.
| Random Sampling | Each member of the population has an equal chance of being selected. This is often achieved using random number generators. |
| Stratified Sampling | The population is divided into subgroups (strata) based on a characteristic (e.g., gender, age), and samples are randomly taken from each group to ensure proportional representation. |
| Cluster Sampling | The population is divided into clusters (e.g., schools, cities), and entire clusters are randomly selected for the study. All members within the chosen clusters are typically surveyed. |
Selection is based on convenience or judgment rather than randomisation. This is often used in exploratory or qualitative studies.
| Convenience Sampling | Participants are chosen simply because they are easily accessible and available to the researcher (e.g., surveying students in your own class). |
| Purposive Sampling | Participants are deliberately selected based on specific, pre-defined characteristics relevant to the study’s research question (e.g., interviewing only managers with 10+ years of experience). |
| Quota Sampling | The researcher ensures that the sample includes specific proportions of subgroups (e.g., 50% male, 50% female) to mirror the population, but selection within those groups is non-random. |
For instance, if the population includes all university students in the UK, the sample might be 200 students selected from ten different universities to participate in a survey about online learning.
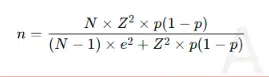
To calculate sample size, researchers use statistical formulas that consider:
A commonly used formula is:
Where:
| Comparison Point | Population | Sample |
|---|---|---|
| Definition | The entire group of individuals, items, or data under study. | A smaller subset selected from the population for analysis. |
| Size | Usually very large and often uncountable. | Relatively small and manageable. |
| Scope | Broad, covering all elements relevant to the research. | Limited, focusing on selected participants or items. |
| Data Collection | Involves collecting information from every member (a census). | Involves collecting data from selected representatives. |
| Cost and Time | Requires more resources, time, and effort. | More cost-effective and quicker to conduct. |
| Accuracy | It can be more accurate if the whole population is successfully studied. | Accuracy depends on how well the sample represents the population. |
| Feasibility | Often impractical for very large groups. | Highly practical for most research studies. |
| Representation | Represents the entire group directly. | Represents the group indirectly through selected participants. |
| Example | All customers of a national bank. | 500 surveyed customers of that bank. |
| Use in Research | Defines the overall target for generalization. | Provides data to make inferences and conclusions about the population. |
In research, a population is the entire group of individuals, items, or data that a researcher wants to study. It includes everyone or everything that meets the criteria of the research question. For example, if you are studying eating habits among teenagers in the UK, your population would be all teenagers living in the UK.
When writing about your population in a research paper, clearly describe who or what it includes. For example:
“The population of this study consists of all undergraduate students enrolled in public universities in the United Kingdom during the 2024–2025 academic year.”
Sampling is the process of selecting a smaller group (sample) from a larger population to participate in a study. It helps researchers collect data efficiently and make generalisations about the entire population without studying everyone.
Purposive sampling (also called judgmental or selective sampling) is a non-probability sampling technique used in qualitative research. In this method, researchers deliberately choose participants who have specific knowledge, experience, or characteristics relevant to the study.
For example, selecting experienced teachers to study classroom management strategies.
A sampling frame is the actual list or database of all members of the population from which the sample will be drawn. It acts as a bridge between the population and the sample. For instance, a university’s student enrolment list could serve as a sampling frame for a study on student satisfaction.
You May Also Like